Les applications d’automne ont fortement progressé depuis quelques campagnes. Elles représentent aujourd’hui plus de la moitié des surfaces de céréales.
Ce constat est en partie lié aux retraits de certaines matières actives, ioxynil, isoproturon (IPU), ce qui a conduit au développement de stratégies qui nécessitent d’être appliquées précocement pour être efficaces. À l’avenir, il est probable que d’autres substances soient concernées par des restrictions, renforçant encore davantage la nécessité pour les producteurs de miser sur d’autres leviers pour gérer les adventices (faux semis, labour occasionnel…) et non plus sur les seuls herbicides.
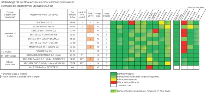
Un large spectre d’efficacité
Les programmes d’automne, à base d’herbicides à mode d’action racinaire, offrent un large spectre d’efficacité sur dicotylédones et graminées. Les interventions précoces permettent d’éviter la nuisibilité que les adventices exercent sur le rendement des céréales lors d’applications trop tardives au printemps. Par ailleurs, cette stratégie apporte une diversité dans les modes d’actions herbicides, point fondamental pour prévenir les apparitions de résistantes au niveau de la flore. À titre d’exemple, le tableau ci-dessous présente quelques propositions de stratégies herbicides adaptées à une flore dicotylédones dominante et avec une pression faible à moyenne de graminées.
Des solutions pour remplacer l’Isoproturon
– Le prosulfocarbe (Défi, Roxy 800 EC, etc…), dans des associations avec du DFF ou avec Carat par exemple.
– Les bases « flufénacet » (Fosburi, Trooper),
– Le chlortoluron (CTU), mais uniquement sur parcelles non drainées,
– Les bases « pendiméthaline » (Prowl 400 ; Codix, Flight, Celtic, etc…) pour renforcer le spectre d’efficacité.
Éric Masson – Michel Moquet / Arvalis-institut du végétal


